
輪式拖拉機機械轉向系統試驗方法
1 主題內容與適用范圍
本標準規定了輪式拖拉機機械轉向系統的試驗條件和試驗方法。
本標準適用于前輪轉向的輪式拖拉機機械轉向系統。
2 總則
2. 1 本標準包括下列測試項目:
a.前輪定位參數及前輪側滑率的測定;
b.轉向系參數及轉向角傳動比的測定;
c.直行位置轉向盤自由行程和轉向系剛性測定;
d.直行位置傳動效率的測定;
e.耐久性試驗。
2. 2 試驗樣品為整個機械轉向系統并安裝在配套主機上。試驗前,按附錄 A(參考件)表A1 填寫被
試系統及配套主機的有關技術參數。
3 試驗條件
3. 1 前輪胎充氣至使用說明書規定的壓力值,若沒有給出這個壓力值,則導向輪充氣至0.2MPa;四輪驅動前輪充氣至0.16MPa。
3. 2 前輪距調整到常用狀態。
3. 3 主機加裝最大前配重,但以前輪達到額定承載能力為限。
3. 4 樣品在試驗過程中,按使用說明書的規定條件進行必要的保養和調整,但不允許更換零件。
3. 5 試驗用儀器應滿足下列要求:
a.(靜)角度測量誤差不得大于±15′;
b.線性量測量誤差不得大于±1mm;
c.轉向盤角位移測量精度±1%;前輪偏轉角位移測量精度±30′;
d.轉矩測量精度±1.5%。
4 試驗方法
4. 1 前輪定位參數及前輪側滑率的測定
a.調整前輪前束至規定值。分別使前軸處于水平及兩側擺動極限位置進行幾次全轉向操作,檢查轉向系及其與主機有無運動干涉,并檢查轉向運動的限位情況;
b.被試拖拉機掛最低擋,低速直線正向駛過測滑儀,讀取前輪駛過時,測滑儀所顯示的最大側滑率。測量重復三次,取其最小值;
c.把拖拉機在地面支起,并調至水平狀態。用前輪定位儀測定前輪外傾角α、立軸內傾角β、立軸后傾角γ諸值;
d.測算轉向阻力壁a。該值為當拖拉機在水平面上處于直行位置時,立軸軸線延長線與前輪支撐平面交點到輪胎接地中心的橫向距離。
按附錄A 表A2 填寫上述各項測量結果。
4. 2 轉向系參數及轉向角傳動比的測定
將拖拉機前輪置于轉角測定儀上,轉向盤上裝以角位移傳感器。由前輪直行位置開始,緩慢轉動轉向盤直至前輪轉至死點,分別測定向左和向右時,左、右前輪偏轉角及相應的轉向盤轉角。內側前輪每偏轉5°至少測量一點。測量或計算下列參數:
a.轉向盤總操縱回轉角,(°);
b.自直行位置至左死點轉向盤回轉角,(°);
c.自直行位置至右死點轉向盤回轉角,(°);
d.左前輪自直行位置至左死點偏轉角,(°);
e.右前輪自直行位置至右死點偏轉角,(°);
f.按式(1)計算角傳動比is:

將測量和計算結果填入附錄A 表A2 中,并按圖A1 繪出角傳動比特性曲線。
4. 3 直行位置轉向盤自由行程和轉向系剛性測定
a.使前輪處于直行位置后,前輪固定不動(固定于輪輞邊緣),在轉向盤上施加正、反2N·m 的力矩,測定轉向盤的擺角。此擺角值即作為直行位置轉向盤的自由行程。
b.使前輪處于直行位置后,前輪固定不動(固定于輪輞邊緣),緩慢轉動轉向盤,對其轉矩加至50N·m,測定轉向盤轉角。用式(2)計算轉向系剛度C:

4. 4 直行位置傳動效率的測定
a.將前輪置于一組墊板上(上面一塊為球面,下面一塊為平板,其間涂少許黃油),并處于直線行駛位置。
b.前輪固定不動(固定于輪輞邊緣),轉動轉向盤,測定轉向盤轉矩與前輪偏轉力矩。由式(3)計算直行位置的正傳動效率ηs:

is——直行位置轉向系的角傳動比。
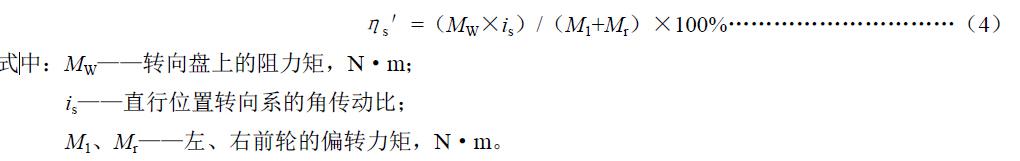
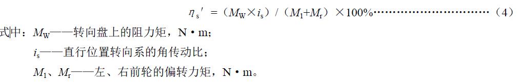
c.轉向盤保持不動,對兩側前輪平均施加同向偏轉力矩(力作用于輪輞邊緣),測定轉向盤的阻力矩。由式(4)計算直行位置的逆傳動效率ηs′:

按附錄A 圖A3 繪出傳動效率測試曲線,其上兩根曲線的水平漸近線的縱坐標值分別作為轉向系在直行位置的正、逆傳動效率的值,將其填入附錄A 表A2。
4. 5 耐久性試驗
4. 5. 1 試驗設備
a.轉向系統耐久試驗可裝在主機上或在模擬主機安裝情況的試驗臺上進行;
b.試驗設備能夠在左、右方向向前輪施加所需的偏轉阻力矩。轉向盤由動力驅動,其轉速及轉角可順序控制。
4. 5. 2 試驗載荷
調整前軸載荷,使莽、右前輪的垂直載荷與附錄A 表A1 中地面對左、右前輪支反力值一致,誤差不超過5%。
對左、右前輪平均施加偏轉阻力矩。左、右前輪的偏轉阻力矩之和M0 由式(5)計算:
![]()
式中:G——前軸載荷,N;
a——轉向阻力臂,mm;
b——前輪胎名義寬度,mm;
μ——地面與輪胎的摩擦系數,取μ=0.7。
阻力矩最大幅值誤差不大于5%。
4. 5. 3 試驗方法
a.驅動轉向軸,轉向軸轉速為60r/min;
b.轉向軸每轉過10 次小循環(轉向軸自中立位置向左、右各旋轉180°后回到中立位置),進行一次大循環(轉向軸自中立位置轉至左死點再轉至右死點,然后回到中立位置);
c.轉向軸大小循環累計轉過30 萬次;
d.試驗過程中,注意觀察轉向器殼體是否有泄漏發生,檢查轉向系統各零部件連接部位技術狀況。試驗結果時,拆卸轉向系,檢測主要零件的磨損、變形、裂紋等情況,拍攝有關照片。將試驗有關記錄及試驗結果填入附錄A 表A3 中,同時附上有關照片。

粵公網安備 44190002001231號